徠卡機器人全站儀助力三等水準測量
一、前言
目前高程測量方法一般分為幾何水準測量、GPS水準測量和三角高程測量三大類。采用傳統水準的方法測定點與點之間的高差,所得到的地面點高程精度較高,普遍用于建立國家高程控制點及測定高等級地形控制點的高程。對于地面高低起伏較大的地區,采用這種方法測定地面點的高程進程緩慢,有時甚至非常困難。

精密三角高程測量在丘陵地、山地、高山地區相比常規水準測量,因架站少、架站自由、靈活、快速,不需要量測儀器、棱鏡高,傳遞高程優勢顯著,能大大降低外業勞動強度,但受限于全站儀的硬件性能,此前一直未能在生產中實際應用;徠卡測量機器人的出現,打破了三角高程測量不能代替高精度水準測量的束縛,徠卡自動全站儀多測回自動觀測、自動識別限差,給野外測量帶來很大的便利,尤其夜間觀測成果更佳。
二、精密三角高程測量技術的可行性研究

作業流程:
檢測棱鏡互差,并檢核棱鏡的加裝是否符合要求,同時還要對全站儀進行組合檢校;
在起點布設棱鏡桿,在距離起點較近的一點(轉點1),布設主站;
主站在轉點1依次觀測棱鏡桿低棱鏡(①)和棱鏡桿高棱鏡(②);
主站不動,在轉點2架設輔站。依次進行如下觀測:后測站觀測低棱鏡(③)、前測站觀測低棱鏡(④)、前測站觀測高棱鏡(⑤)、后測站觀測高棱鏡(⑥);
主站換站至轉點3,輔站不動。依次進行如下觀測:后測站觀測低棱鏡(⑦)、前測站觀測低棱鏡(⑧)、前測站觀測高棱鏡(⑨)、后測站觀測高棱鏡(⑩);
輔站換站,依次循環進行高程的傳遞至接近末點處;
在最后的轉站,主站依次觀測末點高低棱鏡。
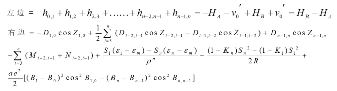
數據模型:

限差

三、項目驗證
為了驗證精密三角高程測量的精度, 內蒙古自治區測繪院使用徠卡TCRA1201全站儀、徠卡TS30全站儀及徠卡TS60全站儀等檢測了很多段用數字電子水準儀測得二等水準路線。其結果如表所示, 精密三角高程測量是完全可以達到二等水準測量的要求。

四、經驗積累、廣泛應用
自2010年5月以來,內蒙古自治區測繪院在呼和浩特、包頭、鄂爾多斯、巴彥淖爾市、烏蘭察布市、赤峰市已成功的使用徠卡自動全站儀精密三角高程測量代替二等水準測量1700多千米;在烏蘭察布市、呼倫貝爾市、興安盟、赤峰市等地方成功的使用徠卡自動全站儀精密三角高程測量代替三等水準測量4000多千米。

經過數年的研究,不同時間,不同區域,所測得的數據基本都能滿足國家二等水準測量規范的要求。徠卡自動全站儀搭配三角高程測量軟件、計算軟件和正確的測量方法,達到了目的和效果。同時我們也積累了諸多的外業經驗:
盡可能使用無伸縮腳架觀測,測段起、末水準點上,對中桿要放穩,保持高度不。
對向觀測時,如一站觀測時間過長,應重測對向觀測。
白天平均氣溫超過26℃時,在保障安全的作業前提下,最好在夜間作業,提前踏勘、選定觀測路線和測站點,更能顯著提高作業效率。
白天作業視線長度不宜超過800米,經過大量測量數據證明500米左右為最佳觀測距離。
白天作業時間遵照水準測量規范上的要求,由于在陽光直射和地面溫度較高,熱氣浪大時大氣折光影響較大。
自動照準觀測,視場內不能有遮擋物在棱鏡前。
視線不能通過煙火上空,觀測目標背后不能有大面積反光地物(蔬菜大棚),大面積水域。
在ATR自動照準時盡量避免陽光直射,由于正對太陽時,在自動照準光路中會有噪聲,從而影響自動照準的精度。

五、總結
傳統二、三等水準在山地、高山的測量中,需要耗費大量的人力、物力和財力,且效率極低。以傳統水準測量為例,在山地連測二、三等水準,單程連續觀測前后視距5-10米,一站一站連測,一個組一天連測3-5公里左右,依據財政部、國家測繪局2009 年頒布的《測繪生產成本費用定額》計算,100個水準點需要聯測1000千米。若對這些點進行二等水準觀測,100個水準點觀測的費用為207萬元,一個組5人需要400天完成。而同樣任務利用徠卡自動全站儀精密三角高程聯測二等水準,一個組一天聯測8-10公里左右,200天以內就可以完成1000千米的水準測量,節省大量的人力、物力。應用徠卡自動全站儀精密三角高程代替二、三等水準測量在困難地區聯測,可產生巨大的經濟效益。
徠卡自動全站儀精密三角高程測量具有傳遞高程靈活、方便、受地形條件限制較少等優點,徠卡測量機器人超高的測角測距精度,為精密三角高程測量提供了硬件保障,目前徠卡自動全站儀精密三角高程測量在大地測量、工程測量中得到了廣泛的應用。
更多相關
中海達影像小碟空地一體化精細化建模
中海達影像小碟中海達影像測量應用篇│三維精細化建模 隨著我國“信息化”建設的不斷發展,在測繪領域中傳統的二維地圖已經不能滿足人們對城市建設的需求,實景三維模型對地物的表達更加直觀并能真實反映實際...
南方覓境RTK激光SLAM測量系統 新品發布
南方測繪推出的南方覓境RTK激光SLAM系統,是一款融合實時動態定位(RTK)與激光SLAM(同步定位與建圖)技術的高精度移動測量解決方案。該系統針對復雜室內外...
全站儀到底能不能進行振動監測
全站儀產品最初定位是單點位置采集工具,通過EDM測距并結合度盤測量的角度計算單點位置,但我們在日常的測量中,除進行單點的位置采集外還會遇到很多動態測量的情景,例如風電塔和橋梁的振動監測,而這些動態...
“厲害了!1+1”丨如此輕松測導線,就用測量機器人聯合“導線助手Pro”軟件
在精密控制測量和變形監測項目中,由于要求的精度較高,因此不能采用常規的測量點坐標的方式進行,而必須按照多測回測角的模式對測量點進行多個測回的全圓觀測,并且在測量過程中還需要對角度和距離進行各種限差的檢...
徠卡BLK360三維激光掃描儀在社區改造中的掃描應用
一、應用背景 目前,國家提倡城鎮老舊小區改造,加強城市的更新,讓人民群眾的居住生活環境質量得到進一步提升。某建筑工作室承接了社區的改造設計任務,按照要求,要在短期內提交設計方案。在社區中有一座歷...
徠卡TZ05全站儀拱壩弦長觀測,賦能水電大壩防洪
南方強降雨帶一直持續,中央氣象臺連續41天發布暴雨預警,為2007年氣象災害預警信息發布制度建立以來時間最長。長江中下游流域降雨量498.5毫米,較常年同期偏多64.3%,為1961年以來歷史同期...
徠卡全站儀在地鐵自動化監測中的注意事項
眾所周知,地鐵隧道的自動化監測在精密監測范疇中往往要求精度在±1mm以內。徠卡測量在眾多地鐵項目中,是如何做到高精度的呢?以下常見的問題解答,或許能夠幫到您! 一、地鐵隧道中,徠卡TM50支架...
徠卡棱鏡和支架合理搭配,更易獲得高精度測量成果!
以前我們介紹了徠卡原裝基座以及腳架等能夠提高測量精度,這期我們將會講到棱鏡和支架對全站儀測量精度的影響。 大家在測量過程時可能會遇到這些問題:測量環境良好,但測距長度大打折扣,達不到標稱測程;短...











環球測繪微信